© 2010  Rasmus ehf

Rúmmál   Kynning 4

Prenta út

 

Rúmmál pýramída, keilu og kúlu:

     


Skiptum teningi upp í 6 jafn stóra pýramída.

Rúmmál tenings er G × 2h

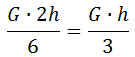
Rúmmál hvers pýramída er  

Þessi formúla gildir fyrir alla pýramída.

 

Rúmmál keilu er þriðji partur af rúmmáli sívalings.

 

     

 

Rúmmál kúlu er


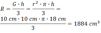
       Dæmi:

 

 

 


 Dæmi:

 

 


Dæmi:

 


Æfðu þig á þessum aðferðum og taktu síðan próf 4 í rúmmáli.

Ps. mundu eftir að fylla út í tékklistann þinn jafnóðum.